
Congratulations on your purchase of Pianoteq.
Pianoteq is the starting point of a new generation of physically modelled virtual instruments, developed from mathematical research carried out at the Institute of Mathematics of Toulouse at INSA Toulouse, France.
Do not hesitate to contact us if you need any assistance on installing and using the software. You are also welcome to provide feedback and suggestions at www.modartt.com/support
{anchor:toc}
Windows
macOSVST3/AU/AAX plug-infxp, ptq and MIDI filesMIDI file player (standalone version)
Mics & Mix panel
KIViR collectionThe first generation of pianos, starting in 1698 with Cristofori’s pianoforte, came to maturity at the end of the 19th century with the acoustic grand concert piano. It was followed in the 20th century by electro-acoustic pianos, and then by digital sampled pianos.
Pianoteq introduces the fourth generation of pianos, based on physical modelling. It offers extraordinary playability and unique physical parameters that model the behaviour of real acoustic pianos.
With Pianoteq, you can shape the piano sound to your own taste. Unique parameters that model the behaviour of real pianos result in great realism, until now only to be experienced on real acoustic pianos.
Using 32-bit internal computation, the calculated piano sound is free from quantization noise. This produces a true dynamic timbre, from the faintest pianissimo to the strongest fortissimo, for all 127 standard MIDI velocities (and even more with high resolution MIDI).
All the characteristics of a real piano are present: the mechanical noises, the complex sound of pedals and strings in interaction, the percussive impact on staccato play (short notes), and of course, most importantly, the beauty of the piano sound.
The second generation brought innovative sounds (such as the Fender Rhodes, Wurlitzer, Yamaha CP 80, and others), whereas the third generation only reproduced recorded samples. Based on an effective physical model, Pianoteq allows you to adjust and stretch parameters, resulting in new sounds and performance styles. Pianoteq is both a way to emulate existing pianos and an innovative tool for music creation.
Pianoteq is in fact the first virtual piano factory: it can produce new brands as well as copies of existing instruments, from historical instruments such as harpsichords and pianofortes to contemporary grand pianos or the more recent electro-acoustic pianos.
Other instruments of the idiophones family are regularly added to the Pianoteq collection. Visit our website www.modartt.com and discover our latest creations.
CPU for computing all sounds in realtime. It loads quickly into RAM, and installation is immediate. No problem using it on a laptop.CPU.Pianoteq is available in three versions:
Note Edit feature allows those who require complete freedom in note shaping to edit the parameters note-by-note.All versions offer the same sound, instruments and playability but differ in the range of features and settings. The table below summarizes the main differences between the three versions.
| PIANOTEQ STAGE | PIANOTEQ STANDARD | PIANOTEQ PRO | |
|---|---|---|---|
| Included instrument packs1 | 2 | 3 | 4 |
Free KIViR historical instruments |
✓ | ✓ | ✓ |
VST3, AU, AAX, NKS, Standalone |
✓ | ✓ | ✓ |
| EQ, velocity curve, reverb unit | ✓ | ✓ | ✓ |
Preset (fxp) loading2 |
✓ | ✓ | ✓ |
| Piano model tweaking | ✓ | ✓ | |
| Advanced tuning | ✓ | ✓ | |
| Microphones setting | ✓ | ✓ | |
| Loads external reverb impulses | ✓ | ✓ | |
Instrument Morphing and layering (Layers) |
✓ | ✓ | |
Note-per-note edit: Volume, Detune, Attack Envelope |
✓ | ✓ | |
| Note-per-note edit: all other physical parameters | ✓ | ||
| Thousands of editable overtones | ✓ | ||
| Supports internal audio rates up to 192 kHz3 | ✓ |
[1] These instrument packs are fully working whereas remaining instrument packs are available in demo mode for your evaluation. You can purchase additional instrument packs at any time.
[2] In PIANOTEQ Stage, preset loading is limited to parameters that are present in the interface. Presets built with PIANOTEQ PRO can be loaded in PIANOTEQ Standard without limitation.
[3] PIANOTEQ PRO offers an internal sample rate of up to 192 kHz. Up to 48 kHz in PIANOTEQ Stage and Standard.
This manual describes the general features that can be found in Pianoteq. Depending on your version, some of them may or may not be present.
Pianoteq is equipped with many exciting features:
scala format files import,.WAV impulses,EQ,Note Effectsthat directly influence the physical model: Attack Envelope, Vibrato, Tremolo and monophonic mode,[5] If your piano supports a fine enough
MIDIprogression (up to 127 values) for the sustain pedal.
Pianoteq works on Windows, macOS, Linux and iOS devices. You can use Pianoteq in standalone mode or as a plug-in instrument in a VST3, Audio Units or AAX host. Pianoteq runs in 64-bit mode. We recommend visiting www.modartt.com for the latest information, the FAQ, and hardware connection tutorials.

WindowsExecute the installation program file pianoteq_setup.exe. Activation is required when launching Pianoteq for the first time. Simply follow the on-screen instructions. ASIO drivers are required to achieve low latency. If your sound card does not include its own ASIO drivers, you can download generic ones from www.asio4all.com.
If you hear pops or crackles, check the audio load and CPU frequency in Options ► Perf.

Red bars in the graphic indicate an overload. In that case, look at the displayed CPU frequency. If this frequency fluctuates or stays below your CPU’s nominal speed, the cause is usually the computer’s power-management settings which should be set to High Performance.
macOSClick on the Pianoteq package and follow the instructions. Activation is required the first time you launch Pianoteq; follow the on-screen instructions.
To install a new instrument pack that you purchased, make sure you have the latest update installed. Log in to the user area on our website to download it. After updating to the latest Pianoteq version, update your licence as follows: click on Options, then on About, then on Update licence. Leave the serial number unchanged and click Quick Activation. If your computer has no internet connection, choose Manual Activation and follow the instructions.
Using Pianoteq standalone is very simple. Launch Pianoteq and specify your audio and MIDI settings in the Devices dialogue box: you are ready to play.
VST3/AU/AAX plug-inPianoteq can be loaded by any VST3, Audio Units or AAX host. In the host application, specify your MIDI device and audio driver.
Pianoteq can be used with any MIDI compatible keyboard. We recommend a velocity-sensitive keyboard with weighted keys that emulate the hammer action of an acoustic piano. See tutorial 4 for adapting Pianoteq to your keyboard in the best way. A progressive sustain pedal is required for partial pedalling.
The requirements for using Pianoteq successfully are:
CPU,RAM,ASIO compatible sound card and drivers (concerns Windows users only),Windows 10 (64-bit) or later, macOS X 10.13 or later, Linux (x86 and ARM).When you click on the Options button, a window containing the following sections appears:

The Devices section (in standalone mode only) lets you select your keyboard, audio device and related driver (Audio device type), output channels, sample rate and audio buffer size.
In the MIDI section you can:
MIDI controllers to Pianoteq parameters (experienced users only ― may produce unexpected sounds with MIDI files containing special instructions),Current MIDI Mapping: Minimalistic (recommended for starting),MIDI mapping setting, click on Save as and enter a suitable name. If you want Pianoteq to always load your MIDI mapping preset, click on Set as default. If you want Pianoteq to always load your saved MIDI mapping preset when you load a specific instrument preset, click on Attach to current preset, close the MIDI mapping window and save your instrument preset by clicking the floppy disk icon.
Pianoteq computes all notes dynamically (that is, in real time). Bass notes contain more overtones and thus require more computation. The Perf section allows you to select from among the following features:
Multicore rendering. You should usually enable this feature,CPU overload detection. In some situations — for example with a slow CPU (computer’s processor) or very fast passages — the processor may be overloaded by the amount of computation required. CPU overload detection can be useful in real-time processing. For example, if producing 10 seconds of audio takes the CPU 12 seconds to handle, the system can skip certain tasks to keep the audio running in real time,Internal Sample Rate affects the internal sampling rate of Pianoteq. A lower frequency requires less computation. Thus the lower the capacity of your CPU, the lower you should set this sample rate,Polyphony is the number of individual sounds (notes, sympathetic resonances…) that are played simultaneously. The lower the capacity of your CPU, the lower you should set the polyphony. Alternatively, you can choose Auto (Pessimistic or Optimistic) for an automatic polyphony setup.fxp, ptq and MIDI filesYou can load fxp and ptq files (and MIDI files with the standalone version) quickly by dragging each file from the file manager, email client or web browser, onto the Pianoteq interface.
MIDI file player (standalone version)The Pianoteq standalone version is equipped with a MIDI player that lets you play and record MIDI files. You can load several MIDI files via File ► Load MIDI file and even create your own MIDI Playlist via File ► Manage MIDI Playlist. A long left-click on the MIDI score let you zoom-in for a better precision.
You can adjust the playback speed by clicking on x1 (“times 1”). A menu will appear where you can choose another value or enter any value between 0.1 and 10. Alternatively, click on x1 and drag the mouse to get the value you want.

Click on the record button to start recording your performance live.
Save your MIDI file by opening the File menu. There you can also export your recording to a WAV, FLAC or MP3 audio file.

At any time, you can retrieve your recent performances via File ► Recently played on the keyboard. Particularly useful when after a brilliant performance you think “too bad I didn’t record this!”. Well, Pianoteq did it for you: just load the latest item in Recently played on the keyboard and save/export it to a regular MIDI/AUDIO file. It’s as simple as that!
For less recent performances, a MIDI Archiver is available; you can access its settings at the bottom of the Recently played on the keyboard menu.

MIDI file and editingIn the standalone version, for exploring your MIDI file step by step, forwards or backwards, use the computer keyboard right or left arrows to play single notes or chords. Using right-click in the MIDI player, you can remove events placed before or after the current position.
The Pianoteq interface is resizable, making it comfortable to work with any display size. Simply drag the bottom right corner of the interface. Additionally, you can click on Options ► General and select the size in the Interface magnification menu, or simply use the handy keyboard shortcuts +/-:

The Pianoteq interface is divided into two sections:
Tuning, Voicing, and Design. The three unified panels open with a single click on the instrument picture.
The three Instrument section panels
Output menu: microphones positioning and mixing. The section also offers features like velocity curve, volume, dynamics, equalizer, action and mallet settings. Finally, various types of effects are also available: the ones directly modifying the models, called note effects, and the others more conventional audio effects: reverberation, chorus, flanger, phaser, compressor and others.
The Audio Engineering section
Adjusting any of the parameters is easy. But you can also simply choose your instrument from the instruments menu on the top left.
You can load and save instruments presets from the presets menu:

This menu lets you choose from a list of built-in instruments and presets, extra instruments (files with extension ptq) or presets (extension fxp) that you have saved in your Pianoteq folders. More details are provided in section Handling presets.
The physical model contains a great number of parameters, but only a small proportion of them are available through the user interface. When only the user interface parameters are changed, then we say that it is still the same instrument but a different preset. Hence presets are understood as variations of a given instrument.
For example, NY Steinway D Prelude and NY Steinway D Classical are the same instrument, as the difference lies in the microphone position which can be defined by the user himself. On the contrary, NY Steinway D Prelude and K2 Prelude are two different instruments because it is impossible to obtain one of them by modifying the user interface parameters of the other.
You can change any parameter of the current instrument or preset by moving the corresponding slider with the mouse. Moving the mouse cursor perpendicularly to the slider will make the slider move slowly.

Whenever you change a parameter in Pianoteq, the instrument’s physical model needs a brief update.
Once you are done, the edit and save buttons to the right of the instruments menu allow you to edit and save your new preset.

Also have fun trying the Random button, which changes all settings randomly!
In Pianoteq you can modify and create your own presets, save them and share them with other users. The following commands are located at the top of the interface.

edit (books) and save buttons allow you to edit and save your new preset,copy and paste buttons allow you to select and copy/paste a subset of the current parameters from one preset to another. Right click on the copy buttow allows to copy without changing the previous selection,freeze allows you to select the parameters that you want to keep unchanged when changing instrument or preset. This is a convenient feature for “transporting” settings from one instrument to another,random (dice) button allows you to randomly change tuning, voicing, and design parameters. Parameters located in the Audio Engineering section are not affected by the random command,undo/redo commands, you can at any time undo and redo the changes you have made: up to 100 undos are possible. A right click on the button shows you the last modification,AB button allows you to switch between two presets A and B, one being in the foreground while the other is in the background. There is a ≠ sign beside them as soon as A and B are different. Clicking on the ≠ copies the foreground preset into the background preset. A right click on the AB button lists the differences between A and B. A and B presets have their own undo/redo stack.When you click on the edit button, the following presets manager appears:

It lets you manage the instruments and presets from the instruments menu. You can edit the presets information, sort or filter them (see some part of them), rename them, etc.
Information on each preset is displayed at the bottom of the presets manager, as well as a small demo excerpt (mini-player to the left of the edit button). There you can edit the information related to your own presets, and record yourself your own demo excerpt (left and right clicks on the mini-player).

The way presets are sorted can be chosen by clicking in the appropriate column: Preset name, Instrument or Bank.

A bank is a set of presets that are located in a given folder, except the factory bank which contains all built-in instruments and extra instruments provided as ptq files and located in the Addons folder.
You can select the instruments and presets that are visible in the instruments menu through three different filters located on the right side of managing window: search, All instruments, All banks. You can also click on individual instruments or banks.

A double click on a user preset name allows you to rename it. You can also open the contextual menu by clicking on the small arrows in the Fav column.

The easiest way to find the Pianoteq folders is to click on the little folder images to the right of All instruments and All banks. The Pianoteq folder contains two sub-folders:
Addons: this is where to store the extra instruments provided as ptq files,Presets: this is where to store the user defined banks. Each bank is itself a folder that contains presets with fxp file format.fxp filesThere are two ways of importing fxp files:
After you have created your new preset, you can save it by simply clicking on the save button; a popup window will ask you for a preset name and a bank name (default bank is My Presets). Each time you click again on the save button, you will save the new values with the same preset name. You can access backup copies (if there are some) with a right click on the preset name in the preset manager, which will open the contextual menu.
When you adjust parameters to create your own instrument, it is often better to tweak several of them rather than push a single one to an extreme value. Try different combinations — changing one slightly and another more — keeping in mind that these parameters do not control the sound directly (they are not filters or envelopes, and far from a classic ADSR scheme), but the physical properties of the piano.
Brilliance is an important sound quality for achieving good realism. You may want to adjust it whether you are staying close to the loudspeakers, or listening at low volume levels, or using headphones. You can for example change the hammer hardness from the Voicing panel, or use the EQ from the lower panel.
The keyboard velocity itself plays a crucial role in the sense of brilliance. Visit the Pianoteq user forum www.forum-pianoteq.com where users provide velocity curves for many types of keyboards. See also the tutorial 4.
Listening through loudspeakers usually requires significantly less reverberation than through headphones. The reason is simple: when using loudspeakers, the sound is naturally reverberated by the room in which they sit. We thus recommend that you reduce the reverberation mix when using loudspeakers.
Moreover, it is worth mentioning that bypassing reverberation in Pianoteq does not have the same effect as bypassing reverberation in a sample-based instrument. In the latter case, unless recording was made in an anechoic chamber, there is a natural reverberation present in the recorded samples which may not be perceived as reverberation because the note release cuts the reverb tail itself, whereas in Pianoteq, there is no reverberation whatsoever when you switch it off. In that case, the sound loses an important part of its natural quality and may sound strange or synthetic, particularly with headphones, because in the real world we never hear sounds without some reverberation. Hence, we recommend bypassing reverberation only when using an external — or natural — reverberation.
The following table summarizes Pianoteq main controls that are associated with instrument features and will be discussed in the next sections.
| Feature | Controls | Action |
|---|---|---|
| Pitch | Diapason |
Changes A (above middle C) frequency |
| Tuning | Temperament |
Chooses among standard temperaments |
| " | Unison width |
Frequency variation within each unison (group of three strings) |
| " | Octave stretching |
Stretches octaves |
| Sound length | Direct sound duration |
Modifies the direct sound duration |
| " | Soundboard mechanical impedance |
Modifies the global sound duration: raising impedance yields longer sounds |
| Timbre | Spectrum profile |
Modifies individual intensity of the first eight overtones |
| " | Hammer noise |
Modifies the hammer noise level |
| " | Strike point |
Changes the overtones level |
| " | Soundboard cutoff frequency |
Raising cutoff frequency enriches high frequencies of each tone |
| " | Soundboard Q factor |
Raising Q factor shortens high frequencies duration |
| " | String length |
Controls sound “acidity” (inharmonicity) |
| " | Attack Envelope |
Controls the attack envelope |
| Brilliance | Hammer hardness |
Enriches the high frequencies: the harder the hammer, the brighter the sound |
| Resonance | Sympathetic resonance |
Controls the amount of sympathetic resonances (strings, soundboard, cabinet) |
| " | Duplex scale resonance |
Controls the amount of Duplex scale resonances (undamped string parts) |
Finally, the Condition slider lets you modify the state of the instrument, from freshly-tuned to completely worn-out. Right-clicking on this slider and changing the Random seed parameter allows you to enjoy thousands of broken instrument variations.

Ctrl+Click (Windows, Linux), Command+Click (MacOS) or Long Click on any slider triggers MIDI learn (e.g. Next preset), long touch on iOS,Clicking on any slider while holding Shift or perpendicular movement with respect to it allow fine adjustment,Shift key while moving a control point on a curve allows fine adjustment, not available on touch devices,FXP, MIDI and PTQ files onto the main interface in order to use them,Left-Click, Right-Click (Windows) or Shift+Click on Next/Previous preset changes to Next/Previous instrument, long touch on iOS,Left-Click, Right-Click (Windows) or Shift+Click on Random button triggers a slight randomization, long touch on iOS,Left-Click, Right-Click (Windows) or Shift+Click on A/B button shows a list of differences between preset A/B in a pop-up window, long touch on iOS,Alt+Enter or Alt+Click resets a slider to its default value, Shift+Alt+Enter or Shift+Alt+Click to swap the values, on iOS, use double-touch to show a popup dialog,Left-Click, or Right-Click on the parameter freeze checkbox toggles the feature, long touch on iOS.MIDI controllerYou can assign Pianoteq parameters to MIDI controllers such as those that may be on your keyboard. Select the parameter slider that you want to assign (right click on the slider and click on MIDI ► Assign MIDI Control) and move the knob of the MIDI controller (or the pedal) that you have chosen for this parameter. Pianoteq will automatically assign the parameter to the controller. More sophisticated possibilities are provided in the Options ► MIDI section.
Any MIDI control may be assigned except the following ones: MIDI controls 6, 38, 96-101 which are used for RPN and NRPN MIDI parameters; controls 120 to 127 are reserved for various reset operations ("all notes off" etc.); controls 32 to 63 are reserved for 14-bit precision controllers.
The grand pianos Steinway Model D and K2 benefit from an unprecedented keyboard range extension from 88 to 105 notes (8⅔ octaves):

Most historical instruments (cf. KIViR, Kremsegg and Karsten collections) have a reduced range. For some of them, it was possible to extend it slightly. The extended range has been set to the default range for all presets except the reference preset, usually the first one. If you want to use the original range (e.g. in order to obtain the original sympathetic resonances range), click on the minus sign to the left of the virtual keyboard. Clicking on the plus sign will bring you back to the extended range.

By default, the keyboard is set to chromatic mode (except for the diatonic harp preset):

If you click on the little D to the left of the keyboard, you enter the diatonic mode where only white keys produce a sound. As in a real concert harp, the key signature is specified by seven pedals, from left to right D, C, B, E, F, G, A, each pedal being controlled by a group of three black keys:

For example, clicking on left black key below E will produce an E♭ alteration whereas clicking on the right black key will produce an E# alteration.
Clicking on the little C to the left of the keyboard brings you back to chromatic mode.
By default, the guitar instrument pack sets the keyboard to guitar mode. To go back to chromatic or diatonic mode, click on the little G on the left of the keyboard. If you click on the guitar neck, it will play the corresponding note, showing a white disk. This mode sets many different features. As can be seen in the following image, several guitar player techniques are available through the yellowish key switches on the left of the keyboard:
legato: note played using the left hand only, pressing the string with a new finger (hammer-on), or pulling the string with the finger already playing (pull-off), activated via the button Leg. On to the right of the keyboard. When on, if you try to play up to a minor third, keeping the first note pressed, the new note will be played legato and a small triangle appears on the guitar neck instead of a disk.glissando: note heard because of the sliding movement of the left fingers on a string. The glissando technique is triggered when the starting note is interrupted by the ending note. If the starting note is stopped before the end of the glissando, the ending note is played glissando, showed by a white horizontal ellipse on the guitar neck. Otherwise, it is plucked normally. The velocity of the ending note sets the speed of the glissando. You can make glissando with chords, where the ending chord is calculated playing only one ending note. The length of the glissando is then calculated relatively to the bass note of the chord. There is a key switch and a pedal to activate glissando.pinch harmonics: note played while stopping the vibration at half of the string resonating length. There is a key switch and a pedal to activate pinch harmonics and it is shown as a white equal sign on the guitar neck. The pedal moves continuously, providing interesting variation of tone.Buff Stops) moves continuously, providing interesting variation of tone.rasgueado: used primarily in flamenco to play chords as the guitar player plucks most of the strings, releasing each finger very quickly.
The key switches for the playing techniques are by default in gate mode (ON when pressed). You can set them to toggle mode by clicking on the little triangle on the right of the keyboard, which accesses advanced menus and the Keyswitches sub-menu.
The vibrato is central for guitar players. It has been implemented for every instrument in the Note Effects panel, see section Note Effects. A button ~ has also been added to access it from the guitar mode.
the thumb key switch on the left of the keyboard is another important feature regarding the variation of timbre, which simulates the tone modification provoked while playing guitar with the right thumb. A similar effect can be achieved by reducing the Piano, Mezzo and Forte Plucking brightness.
The guitar mode lets you experience, in a very convenient way, the six strings of the guitar. On the guitar, the same note can be played on different strings over the neck, changing its timbre. It is constantly used by guitar players to soften or harden the tone. In guitar mode, you can set the keyboard to easy or advanced Adv. playing style. The easy mode sets the general position of the guitar player left-hand on the guitar neck, according to the played notes. The advanced mode Adv. adds key switches on the right of the keyboard to move the left-hand manually. There is a third way to choose the string: key switches on the left of the keyboard can force to play on a specific string. An extra key switch has also been added to force use of Open strings when played. Finally, a hidden feature improves chord playability. Indeed, once the guitar player left-hand is placed on a specific part of the neck, some intervals cannot be played at the same time (usually the seconds and minor third) as the string is already in use. An automatic string selector has been implemented when such a case appears, relieving keyboard players from any potential frustration while playing in guitar mode.
In order to mimic guitar player chords plucking, two repetition key switches have been added, on the left of the keyboard, that can strum previously played chords up and down. It can also repeat single notes to play faster.
Special care has been dedicated to incorporate the additional noises which the guitar player produces as the body touches the instrument. Among the various sounds, squeaks when sliding on the strings and noises related to finger movements on the neck, have been added. In order to control the amount of noise added, a Casual to Pro slider is available. When set to Pro, no additional noises can be heard.
The advanced settings are available by clicking on the triangle on the right of the keyboard. In this menu, you can:
tunings,hollow and solid,gate and toggle mode,midi channel (very practical with midi guitars),midi channel.
This guitar mode is available for every instrument in Pianoteq by clicking on the little C to the left of the keyboard until it shows the guitar neck.
Instruments VibraDrum, CimbaHarp or GlockenTines for sure do not exist. However these are three of the many instruments you can create with the acoustic Morphing introduced in Pianoteq 7 (Standard and PRO). This new technology handles the morphing at the physical modelling level, providing a stunning acoustic authenticity to instruments that never existed. The timbre of the hybrid instrument you can create is the one of an imaginary acoustic instrument whose physical parameters lie somewhere in between those of the instruments from which you started building the morphing.
The Layering feature allows you to mix several instruments, e.g. playing Harp in the low range, Vibraphone in the upper range and mixing both together in the middle range. When layering instruments together, there are two parameters you may find of particular interest: Volume and Attack Envelope. Both can be edited note per note in Pianoteq Standard and PRO. The Volume can be used for splitting the instruments to different keyboard ranges, and the Attack Envelope can be used to mix an instrument with a particular attack that you want to emphasize, with another one whose attack has been weakened via the Attack Envelope parameter.
The difference between Morphing and Layering is that in the latter the two sounds are mixed together with a given ratio (as if you were running several instances of Pianoteq), whereas in Morphing the instrument Physics itself is being morphed at a given ratio, providing a single instrument with intermediate physical parameters.

A click on the Morph / Layers button gives you access to the Morphing/Layers panel. Once you have clicked on Morphing, you will be able to select the instruments you want to morph in your “recipe”, the values of each “ingredient” being displayed in the left column; or you can let the Random button choose for you.

Morphing slider on the left controls the morphing amount for each ingredient of the recipe. If you assign it to a MIDI controller (right click), for example included in a MIDI file via the so-called automation, the instruments morphing amount will follow the automation. Clicking on the Stop button will stop the automatic application of the morphing recipe,Flatten button merges all instruments from the recipe into one single independent instrument,Freeze button allows you to select the parameters that should not be morphed: they are “frozen”. Some of them are frozen by default: for example Effects, Limiter or Pedal assignments (which are not proper physical parameters) and Output settings (it makes no sense morphing a two mics configuration with a three mics configuration),Smooth x2 button avoids all glitches that may occur during a morphing operation, but increases the CPU usage,M and S let you individually mute or listen to each ingredient of the recipe,Edit button lets you individually edit each ingredient of the recipe, which you can also Rename, Save or Save as via the drop-down menu.Clicking on Layers instead of Morphing gives you access to the Layers panel, which is very similar to the Morphing panel. The above mentioned example is easily obtained by setting both the volume of the Vibraphone in the low range and the volume of the Harp in the upper range to zero (via Note Edit), and cross-fading them together in the middle range.

Pianoteq allows you to perform all of the tuning operations usually made by a piano tuner. The Tuning panel contains the following controls:

The standard diapason (A above middle C) frequency6 is 440 Hz, but you can change it to other values by clicking in the Diapason menu.
The temperament defines the way the scale is tuned. By clicking in the Equal temperament menu, you can choose from the following temperaments (see appendix):
Equal temperament: the standard tuning,Pythagore (6th century A.C.): based on harmonic (pure) fifths except for one (the so-called “diabolus in musica”). Can you hear which one it is?Zarlino (circa 1558): sometimes called the “physicist scale”, based on harmonic thirds (ratio 5/4) and fifths (ratio 3/2),Meantone, Well temperament and Werckmeister III (17th century): unequal temperaments used in baroque music,Flat: octaves ratio is strictly 2, for use in certain circumstances, for example with synthesizers.The Detune notes entry in both Diapason (440 Hz item by default) and Temperament menus gives you access to the Note Edit - Detune panel where you can detune your instrument note per note.
A unique feature of Pianoteq is that tuning does not follow a pre-computed frequency table (except for the flat temperament), but takes into account the inharmonicity of the strings, in the same way a piano tuner does with acoustic pianos. Hence, the consonance of the notes is improved and the chords have a fuller and richer sound.
For other temperaments, you can enter the Advanced Tuning panel by clicking on the + button
. There you can import your own scala7 files and keyboard mappings via the Temperament and Keyboard Mapping menus.

When retuning an instrument, you can choose among two options: String tension or Full rebuild. Changing the string tension affects the timbre of the instrument because inharmonicty increases when tension decreases, whereas full rebuild recalibrates all strings in order to provide the same timbre for a given pitch.
In the Stretch menu (left to the String tension/Full rebuild checkbox), one can adapt the stretching of the piano tessitura. When Stretch is set to 1, if Harmonic stretching is unchecked, then inharmonicity is taken into account, in a similar way as piano tuners do when tuning by ear, that is, listening to the beats between partials (Natural stretching). If on the contrary Harmonic stretching is checked, then inharmonicity is ignored, in which case the partials are considered to be harmonics, that is, integer multiples of the fundamental, hence the name. Whether the stretching is harmonic or natural, when increasing the stretch value above 1, the tessitura is broadened according to the chosen value, and conversely, when it is reduced below 1, the tessitura is contracted. If you wish to observe what it simply means in terms of cents, you can click on Transfer the stretching into Detune note-edit and check the values by clicking on the Detune checkbox.
[7] For more information, see www.huygens-fokker.org
The MIDI standard allows only 128 notes (per MIDI channel). Hence it is a bit delicate to map temperaments that have lots of notes per octave, such as 31-EDO or 53-EDO: the 7 and 1/3 octaves of piano tessitura would require almost 400 notes with the 53-EDO temperament! Fortunately, it is possible to use the 16 available MIDI channels to increase the number of notes available to 16x128 = 2048. In the Advanced Tuning panel, select the Keyboard Mapping menu, and check the extended layout for up to 16*128 notes submenu. When this option is checked, a Main MIDI channel is defined. MIDI notes that arrive on this channel are played as usual, but notes arriving in the next MIDI channel will play one octave higher, the following channel will play 2 octaves higher etc., and previous MIDI channels play the lower octaves (if the main MIDI channel is channel 1, then its “previous” channel is defined as channel 16).
As very few people know, the three strings of each piano unison (the strings hit by each hammer) are not tuned at exactly the same frequency. To change the timbre or colour of the sound, a skilled piano tuner introduces small tuning differences between these three strings.
Experiment yourself by gently changing
Unison width, that is, the difference between the lowest and the highest frequency produced by the three strings of a single note,Unison balance, which allows you to adjust the intermediate frequency of a 3 strings choir from the lowest (balance = -1) to the upper frequency (balance = +1) of the choir, balance = 0 being the factory setting value.
It is quite usual to stretch octaves8 in a piano, but how much should they be stretched? Well… this might be a matter of taste! In the Advanced Tuning panel Stretch menu, adjust it to your own taste by modifying the octave stretching parameter. The main effect will be observed in the treble notes.
When the octave stretching parameter is set to 1, the stretching follows the natural inharmonicity of the strings (depending on the string length), so there still is a slight stretching. If you want no stretching at all, then use the flat temperament.
You can transfer the stretching (the amount of detuning) induced by inharmonicity to the Detune parameter, which allows you to observe directly that detuning in the Note Edit - Detune panel.
[8] The musical interval between the two closest notes with the same name (e.g. A3 and A4) is called an octave. The theoretical frequency ratio between two such notes is 2, but in practice it is slightly stretched because of the inharmonicity of the strings and the property of the human ear (cf. also Design Panel).
A remarkable physical consequence of changing the unison width is that the direct sound duration itself is modified. This can also occur when reshaping hammers. You can modify that duration independently via the Direct sound duration parameter.

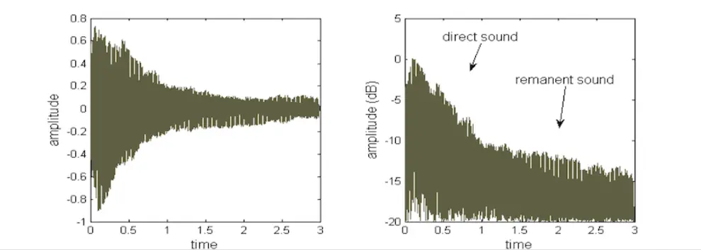
Time representation of a piano sound decay, natural scale (left) and log scale (right). Fast decay at the beginning (direct sound), slow decay after (remanent sound).
The Smear parameter softens the attack and even out the timbre, reducing phasing effects. The effect is particularly noticeable for bass notes and narrow unisons. A short Tutorial in the Practice section explains how to adjust the tuning parameters to start exploring Syngular sound palette.
The strings of a piano are struck by the hammers, small wooden pieces covered with hard felt. For a piano tuner, voicing consists in “shaping” the sound according to the pianist’s taste. This is made by working on the hammer felt, giving it the desired shape, hardness and elasticity.
Pianoteq allows you to perform this same voicing operation. The voicing panel offers you the following controls:

You can adjust the global Hammer hardness or its value at three different velocities:
MIDI velocity around 41,MIDI velocity around 70,MIDI velocity around 98.The harder the felt, the more brilliant the sound becomes. Of course, the louder you play, the harder the felt should be, unless you wish to try some original playing effects!
Here you will find small sliders that allow you to adjust the individual intensity of the first eight overtones (cf. section String length). Experiment with it by increasing the weights of all fundamentals (the first overtone is called the fundamental) by raising the first bar. Depending on the piano brand, the seventh, eighth or ninth overtone is usually weaker than the other overtones: the strength of the overtones is related to the hammer strike point defined by the piano manufacturer.

Time, frequency and time-frequency representation of a note, before and after voicing. Here, among other things, the first overtone intensity has been increased.
You can adjust the Hammer noise, that is, the weight of the hammer percussion sound. With a loud hammer noise, you will feel as though you are standing close to the piano.
The Hammer tone slider lets you darken or brighten the attack of the sound. In piano terms, this means you can emphasize either the low-frequency woody impact of the hammer or the high-pitched string contact.
Here you can control the smoothing degree of the una corda pedal, also called the soft pedal. Despite its name, the una corda pedal usually lets the hammer strike the three strings, but with a softer part of the hammer felt.
The tone sources (reed, tine, bar) of an electro-acoustic piano are struck by hammers or mallets whose hardness can vary, depending on the material that is used. Here again, as for acoustic pianos, Pianoteq provides a voicing panel that offers the following parameters:

Hammer hardness, spectrum profile and hammer noise work in the same way as with acoustic instruments.
In an electro-acoustic piano, the pickup is not exactly in front of the tone source at rest. When it is exactly in front, due to the symmetry of the device, the note jumps one octave higher than the normal tone. Moving the Pickup symmetry slider from left to right makes the pickup move from an unsymmetrical position to a symmetric position, providing thus a wide range of timbres.

The Pickup distance slider sets the distance between the tone source and the pickup. When the pickup is moved closer to the tone source, the sound becomes more distorted and the timbre variation between soft and loud sounds increases.
The clavinet works much like a clavichord. When a key is depressed, a small rubber tip strikes the string and presses it on to an anvil. It contains two sets of pickups, positioned above and below the strings, and is usually electronically amplified.

The voicing panel of the clavinet lets you choose among the four standard pickups settings:
Even more, it lets you make any continuous change between these four settings by right-clicking on the two CD/AB buttons.
The original register switches for tone colours Brilliant (shortened to Bright), Treble, Medium, Soft are also available.
Hammer hardness, spectrum profile and hammer noise work in the same way as they do with acoustic instruments.
Syngular does not use real hammers, but it benefits greatly from the Vibrato and Tremolo in the Note Effects panel, which act directly on the model for each individual note. For this reason, the Rate and Depth parameters for Vibrato and Tremolo are also available on the main panel, instead of the Hammer noise, Hammer Tone and Soft pedal.
This panel offers controls over piano design parameters such as string length or soundboard characteristics (the soundboard is the wooden plate which transmits the string vibrations to the air.)

On a real piano, you cannot change the soundboard mechanical impedance, which represents how the soundboard resists the string vibrations, and thus amplifies the sound. With Pianoteq, it becomes very easy: it is just one of the design parameters. By moving the 2D control point and the slope to adjust decays, you modify:
Impedance: the greater the impedance, the longer the sound becomes,Impedance Cutoff: the higher you set this frequency, the more high overtones will be present,Impedance Slope: the greater this factor, the faster the high overtones will decrease.More details regarding the soundboard parameters in the tutorial 3.
Each piano note produces a complex sound, mainly composed of overtones with approximate frequencies f, 2f, 3f... where f denotes the fundamental frequency.
A parameter which greatly affects the timbre (and the tuning) is the so-called inharmonicity: the more inharmonic the strings, the more the overtone frequencies of each string are driven away from their theoretical values f, 2f, 3f... and the more the piano sound will resemble a bell.
Inharmonicity decreases very rapidly with string length. Experiment by changing the String length. The difference will be most evident in the bass range. You can choose up to a 10 meter long piano! At such a size, there is almost no inharmonicity. People say that piano manufacturers dreamed of producing pianos without inharmonicity...
The Strike point slider allows you to choose the position where the string — or the bar for percussion instruments — is struck by the hammer or the mallet.
A special humanization feature allows the strike point to vary as if it was played by a human musician. This feature is particularly suitable for the chromatic percussion instruments. Right click on the Strike point slider and select Humanize. You can adjust the range of the random variation on both sides of the mean strike point.

The Sympathetic resonance parameter controls the weight of the strings’ sympathetic resonances. It is used, for example, in the famous piece Mikrokosmos by Béla Bartók. The sympathetic resonances depend on the position of each individual damper, and consequently on the position of the sustain pedal: it is longer when the sustain pedal is down, for dampers do not then touch the strings.
Experiment by pressing down a few keys very slowly so that they do not produce any sound, and then, without pressing down the sustain pedal, play a few notes staccato. You will hear the resonance introduced into the first depressed notes. If you release these notes, the sound will stop.
You can also do the “opposite” experiment. Play a note loudly and hold it, press silently another note, and release the first note: it continues resonating in the second note.
The Duplex scale parameter controls the weight of the duplex scale resonance, issued from the undamped string parts located between tuning pins and frame (front scale) and between bridge and frame (rear scale). This invention was patented by Steinway (who consulted with the physicist Hermann von Helmholtz) in 1872 and enriches the harmonic content of the notes.
The Blooming parameters, first designed for steel drums, can also be used for the other instruments, allowing to create new sounds. The blooming effect that characterizes the timbre of the steel drums arises from the non linearity of the mechanical response of thin steel sheets. During the attack, some energy is transferred from lower to the higher overtones, producing a “boiinng” sound. Two parameters control this effect:
Blooming energy parameter controls the amount of mechanical energy which is transferred from lower to higher overtones,Blooming inertia parameter controls how fast this energy is transferred: the higher the inertia, the longer it takes to be transferred.
The tines that serve as resonator in certain electro-acoustic pianos produce a typical noise when hit by the hammer during the attack, or by the damper during the release. In the Pianoteq Electric Pianos Vintage Tines MKI and Vintage Tines MKII, these two noises can be controlled separately by the Tine noise hammer and the Tine noise damper parameters.

Impedance and Sympathetic resonance work in the same way as with acoustic instruments.
Here again, the Blooming parameters, first designed for steel drums, can be used for the electro-acoustic instruments, allowing to create new sounds. See in particular the MKI Blooming Grit preset.
To make the terminology more user-friendly, the mechanical soundboard parameters have been replaced with the familiar Attack, Decay, and Release envelope controls found in many synthesizers. You can still shape the decay’s frequency response by adjusting its cutoff and slope, which let you control how quickly the higher frequencies fade. A short Tutorial in the Practice section explains how to adjust these parameters to start exploring Syngular sound palette.
Syngular’s virtual strings also include a Harmonicity parameter. Lower values introduce a bell-like character, similar to shortening the String Length in an acoustic piano.
On the left side of the Audio Engineering section, you can find a velocity control curve, allowing you to adjust Pianoteq to your keyboard. You can add or remove control points (double click to remove) and modify the curve by moving them with the mouse. The upper menu lets you separately adjust Velocity, Note-off, Pedal and Aftertouch velocities.
A right click on the velocity graphic opens a menu where you can select and manage velocity presets.

The calibration button opens the Keyboard calibration assistant which will help you adjust Pianoteq to your keyboard and pedal and to your own playing style. We strongly recommend that you follow that procedure at least once. See also tutorial 4.
The reset button resets the displayed velocity curve to the default curve.
When ON, the G button lets you define a global velocity curve which overrides the default velocity curve of any preset.
If your digital keyboard is not equipped with Aftertouch, you still can test Pianoteq's Aftertouch by clicking with the mouse on its graphical keyboard and dragging the cursor vertically above the keys.
Velocity OffsetOnce your velocity curve is calibrated you may still want to adjust the dynamic response of the piano, emphasizing the fortissimo or the piano dynamics. It is possible to drag the Velocity Offset up or down when clicking on the dynamic markings.
With Pianoteq Pro, you can adjust the velocity offset of each individual note, giving you precise control over the balance between your left and right hands. It's a powerful way to enhance voicing, bring out melodies, or tailor the instrument to your playing style.

Mallet players often use mallets as dampers while using the sustain pedal. The purpose is to exclude certain notes in a group of ringing notes. Pianoteq offers this feature in the velocity panel. Click on one of the two following options in the Sustained notes damping (mallet instruments) section:
Low-velocity note-on: piano notes are dampened when using the sustain pedal,Aftertouch: notes are dampened according to their Aftertouch value when using the sustain pedal (adjustable with the Aftertouch curve).This extra control is accessible not only for Chromatic percussions, e.g. Vibraphone, but for any instrument.

In the middle of the Audio Engineering section you will find:
limiter than can be turned on/off by a simple click. By reducing high amplitudes, the limiter is intended to avoid cracks that may appear when the amplitude is too high (in such a case, the clipping led to the right of the vu-meter shows up),Volume. You can adjust it note by note via a double click on the slider,Dynamics, which controls the loudness level between pianissimo and fortissimo. Since it is applied to each note, it can be seen as the ideal compressor for it allows you to adjust the dynamics without any distortion. In particular, the attack and decay of individual notes are not modified,
The twelve pedals that can be used are the following:
Sustain Pedal, which lifts the dampers, letting the strings ring after the keys are released. Being progressive, it allows the so-called “partial pedals”9,Soft Pedal, also called una corda pedal. It moves the piano action to the right (on grand pianos), so that the hammers strike the strings differently, changing the timbre of the notes,Harmonic Pedal allows you to play staccato while maintaining the sustain pedal resonance effect,Sostenuto Pedal allows you to hold some notes after release without pressing down the sustain pedal. Depress some keys, depress the Sostenuto Pedal, release the keys, and the sound of the notes will continue as long as the Sostenuto Pedal is down. Check Ignore the sustain pedal if you do not want the Sostenuto Pedal to capture the dampers lifted by the sustain pedal,
Super Sostenuto pedal, where the notes held by the sostenuto can be replayed staccato, which is not possible on a "real" piano,Rattle Pedal, also called bassoon pedal, which equipped certain historical pianos, as for example the Besendorfer from the Kremsegg collection. A piece of parchment comes into contact with the strings to create a buzzing noise resembling the sound of the bassoon,Buff Stop Pedal, where a wooden bar covered with leather or felt is pressed against the strings, softening and shortening the tone. It can be found in some harpsichords and historical pianos. On a real harpsichord, the buff stop generally acts only on one register, leaving the other registers untouched. In Pianoteq, you can select which registers are affected by the buff stop pedal. This can be done via a right click on the register buttons (L8', U8', 4'), which gives you also access to the level and detune of each register,
Celeste Pedal, also called moderator, where a felt strip is interposed between hammers and strings, creating a softer sound. This pedal is usually found in upright pianos, in some early pianofortes as well as in some grand pianos, as for example by Steingraeber. Once this pedal is selected in the interface, a right click on the pedal will allow you to adjust the felt thickness. Checking the Reverse the celeste pedal triggers the pedal without the need of pressing down the pedal,
Pinch Harmonic Pedal, which produces harmonics by shortly touching the string at a specific point on new notes, producing harmonics. Also known by harpists as flageolet,Glissando Pedal, which produces smoother note attacks, as when a harpist or guitarist plays glissandos on his harp,Mozart Rail pedal reduces the key depth and the hammer to string distance to play more softly,Thunder Pedal let you strike the keys with superhuman strength.[9] If your piano supports a fine enough
MIDIprogression when using the sustain pedal.
Mics & Mix panelOnce you have clicked on the Mics & Mix button, the microphone window opens (you can detach the microphone window by hovering the mouse cursor above the microphone area and dragging it with the mouse).
The Pianoteq instruments are based on a physical model of the soundboard and its radiation. It simulates the sound field generated by the instrument, and thus allows you to place microphones anywhere around the piano, or just above the soundboard, or even below the piano if you want. The acoustic pressure and pressure gradient are measured where you place the microphone, which allows to simulate omnidirectional microphones as well as directional microphones.
You can drag a microphone to any location around the instrument and choose its direction.

A head model is also provided: here, an additional treatment is applied to the sound pressure registered by the ears of the listener. It can provide an increased realism when listening with headphones.
Several types of virtual microphones are available, such as omnidirectional, cardioid and figure 8, to choose from a range of well-known microphone brands: U87 (omni, cardio and fig8), DPA-4006-4007-4011-4041, C414 (omni, cardio and fig8), CMC6-MK2-MK4, SF-12-24, R84, as well as two "perfect" microphones (they capture the acoustic field generated by the model without any distortion): perfect-omni and perfect-fig8.

When Proximity effect compensation is checked, an automatic compensation algorithm is involved which avoids the increase in bass response when the microphone is close to the soundboard.

To make it easier moving several microphones, you can link them together, either by the Link to command from the microphones menu, or by double-clicking in between the microphones you want to link. Then you can move them, rotate them and adjust their distance to each other.

By right-clicking in the mic area or opening the Mic Presets menu, you can save your mic settings and load those you have created.
Here are a few classic microphones techniques.

The mixer allows you to mix up to 8 microphones into up to 8 Outputs (also named Bus). For each microphone and each active Output, you can Muteor Solo and you can adjust the Volume, the Pan, left Land right R Delay and polarity (clicking on Lor R). Your audio configuration may impact the Output behavior and you can add or remove Output clicking on the Mixed Output title.


When switched on, Level compensation and Delay compensation compensate respectively for the level and delay on each line connecting a microphone to a channel. When switched off, the raw sound from the microphones is heard: the volume decreases with the distance from the piano while the delay increases. In both cases, level and delay that you adjust in the mix table are relative to the chosen configuration.

Two other parameters can be adjusted in the Microphones mode:
Stereo width. This parameter allows you to narrow or broaden the stereo image of the instrument,Sound speed. Since this parameter was present while we developed the model, we chose to make it available for you. Its effect is equivalent to changing the time unit. It modifies the travel time of the sound waves in the air.
The lid can be raised or lowered. Hover the mouse over the top edge of the lid and drag the lid to raise or lower it. This feature appears in the same panel as the microphone position because it is part of the acoustic radiation model and thus directly influences the sound waves captured by the microphones.

If you have selected the Virtual head in the mic list, you can choose the position of the listener around the piano. The Binaural mode involves physical modelling of a dummy head. You can rotate the head in any direction, and you can even increase its size (for big headed people only).

As is well-known among sound engineers, the microphone position has a dramatic effect on the resulting sound of the piano: for some positions, the sound is nicely balanced from low to high frequencies while other positions lead to a strongly coloured sound. There might be places where some frequencies are almost completely missing (wave nodes), and even the best position is far from rendering a purely flat response: recording always brings some additional colour, which makes sound recording a real art.
The next graphic gives an idea of how “flatness” can vary with the position: the lower a point of the surface, the flatter the response becomes.

The lower right panel gives access to the Action, Mallet Bounce, Equalizer and Effects settings. The buttons below it provide a shortcut for enabling/disabling the selected effects and the reverb.

ActionHere you can adjust several parts of the piano action:
Damper position: when a note is released, the damper falls back on the strings and each overtone decays more or less rapidly depending on the damper position. It is particularly noticeable in the bass notes when using partial pedals (and also with keyboards sending variable key release velocity),Damping duration (efficiency of the dampers),Last damper: all keys with MIDI note number greater than this value have no damper,Mute: makes the dampers more or less press onto the strings,Key release noise, noise made by the release of the key,Sustain pedal noise: “whoosh” when all dampers rise together, as well as when they fall.
Mallet bounceThis feature is particularly interesting for the chromatic percussion instruments, including the cimbalom.

You can adjust the way the mallet bounces on the bar (or on the cimbalom strings):
Initial delay: adjust the delay for the initial bounce,Velocity sensitivity: the higher the sensitivity, the longer the first bounces at high velocity (the “drop height” has increased),Delay loss: adjust the amount of delay loss from one bounce to the next one,Velocity loss: adjust the amount of velocity loss from one bounce to the next one,Humanization: adjust the random variation of all these parameters,Attack Envelope: adjust only the attack envelope of bounced notes. See Note effects for the Attack envelope of the initial sound.EqualizerIn its default state (Main is selected), contrarily to the EQ effect (cf. Section Effects), this EQUALIZER works in pre-processing (modifying the model before computing sound). The fact that it works in pre-processing allows automatic volume compensation: for example, when increasing the medium spectrum, it will increase the medium frequencies in each note while keeping the natural balance across the keyboard. In other words, the middle notes will not get suddenly louder than the other ones. Another advantage of pre-processing is that it allows very fine variation in the EQ curve, unlike on a standard 3 band EQ. You can add (click) or remove (double click) control points and modify the curve by dragging them with the mouse.

Two other features, Res Eq and Res Dur, allow respectively to equalize the sympathetic resonances and to modify their duration.
Note EffectsThis panel adjusts the effects acting directly on the model, for each individual note. four features are available: Vibrato, modulating the frequency, Tremolo, modulating the volume, Attack Envelope and monophonic mode.
The Depth of the Vibrato defines the importance of the effect in cents. The Offset controls whether the change in frequency will be more positive or negative. The Depth, in dB, of the Tremolo controls the importance of the effect, and the Relative Phase determines how synchronous the Vibrato and Tremolo are when used together.
The left part of the panel sets the speed of the variations, Rate, the time before it appears, Onset Duration, its Shape and its Phase.
The monophonic mode Mono plays one note at a time. When activated two options are available: Legato, suppressing the attack of slurred notes and Portamento, gliding between notes at a defined rate.

EffectsThe effects panel lets you chain three effects that can be switched if wanted.

The effect menus allow you to select among the following effects: Tremolo, Wah, Chorus, Flanger, Phaser, Fuzz, Delay, Amp, Comp, EQ. The Gain is applied after all effects. Placed here for convenience, it does the same as the Volume in the main interface.
The following controllers are shared by several effects:
Delay: the length of the delay line in milliseconds,Depth: the loudness variation in dB in the effect,Feedback: the percentage of signal feedback in the effect delay line,Mix: the ratio of the effect and the unprocessed sound,Mono switch: changes the effect from mono to stereo,Rate: frequency of the oscillator that modulates the effect,Stereo: phase offset between the stereo oscillators,Sync switch: its menu allows synchronizing the effect to the tempo,Tone: simple tone control for the delayed signal.
In the Tremolo effect, you can control the shape of its LFO by draging the mouse horizontally and vertically over the Shape curve.
In the Wah effect, the Wah slider itself is the direct controller of the wah-wah effect (right click on it and click on MIDI to assign it to a MIDI controller). In Auto-Wah mode, the Wah is modulated by the amplitude of the sound. Specific Wah controllers:
Sensitivity: Auto-Wah is disabled when the slider is at the extreme left. The more you push it to the right, the lower the amplitude which starts triggering the Wah effect.Depth: controls the upper limit of the frequency shift for the wah-wah filter.
Similarly, in the Phaser effect, the Phasing slider is the direct controller of the phaser effect. Specific Phaser controller: Intensity: the width of the frequency sweep, ranges from 0% to 100%.

The Amp effect simulates an amplifier equipped with the following controllers:
Mix: the ratio of the effect and the unprocessed sound,Drive: amount of distortion introduced in the signal,Bass: amplifier low frequencies boost,Midrange: amplifier mid-range boost,Treble: amplifier high frequencies boost.
The Comp effect is a standard compressor with the following controllers:
Ratio: gain ratio input/output above the threshold,Attack: the time it takes for the compressor to reduce the gain once the signal reaches the assigned threshold level,Release: the time it takes for the gain reduction to end once the signal drops below the assigned threshold level,Threshold: the level at which the compressor gain reduction starts,Gain: the gain in the overall level after the compression.
The EQ effect is a simple 5-band parametric equaliser. Dragging control points on the interface will change the cutoff-frequency and the gain of each band. Pressing the ’shift’ key while dragging will change the Q factor of each band. Each filter can be enabled or disabled by clicking on their number. Right-clicking on the control point or the number provides the possibility to change the filter type (low-pass, band-pass, etc.).

A new convolution reverberation unit simulates acoustic surroundings ranging from studio up to very long reverbs like Cathedral or Taj Mahal. It includes other types of reverbs such as Plate, Spring, Speakers, Broceliande... In PIANOTEQ STANDARD or PIANOTEQ PRO, you can even load your own reverb impulses via Load WAV impulse... in the reverb menu.
The reverberation is controlled by the following parameters:
Mix: the relative level in dB between reverberant sound and direct sound,Duration: the length of the reverberant sound,Room size: from 5 to 50m,Pre-delay: the time between the direct sound and the reverberant sound,Tone: a tilt equalizer that only affects the reflected sound, darker to the left, brighter to the right,Tail / Early reflections: the relative level in dB between early reflections and reverberation tail,Low cut: a high-pass filter cutoff frequency of the wet signal, which can be used notably to enhance clarity.
And now, a few tutorials to help you understand how Pianoteq works. We will learn how parameters influence the sound. It is important to notice that Pianoteq also lets you produce new sounds which could never be obtained from a real instrument.
What is the difference between a “normal” piano and a “honky tonk” piano? Most of the difference can be found in the unisons tuning. Each note has three strings, except in the bass range. The honky tonk sound comes from the fact that these three strings are not in tune: they do not produce the same frequencies. You can obtain this effect by moving the Unison width slider to the right in the Tuning panel:

However, having the three strings perfectly in tune is not necessarily best. If you push the slider completely to the left, the three frequencies of each unison will match almost perfectly, but you will find that the sound becomes uninteresting. It sounds too “clean”; it lacks life. So, how should it be tuned? There is no universal truth in such an aesthetic matter. That is why Pianoteq, for the first time in a digital piano, lets you adjust the unison tuning to your own taste!
When changing Unison width, you may also find it interesting to change the Direct sound duration, reducing it if you have reduced Unison width and vice versa. Observe that the closer the strings are to being in exact unison, the faster the direct sound will decay and the slower the remanent sound will decay.
Unison tuning is not the only feature that affects tuning: another question is how intervals, that is, the frequency ratio between two different notes, are tuned. The tuning of all the intervals within an octave is called a temperament.
Over the years, many different temperaments have evolved. The most commonly used today is the equal temperament, in which all semitones are equal. However, a few hundred years ago, people used many other temperaments, some of which you can choose in the Temperament menu. Try playing them. You may find the difference not so evident when playing single notes, but much more prominent when playing chords, some of them having a nice consonant sound, whereas others having a quite harsh sound.
The main objective of piano voicing is to set the brightness of the sound by adjusting the hammer hardness. Different musical styles may require different voicing. The Voicing panel contains three hammer hardness sliders dedicated to dynamics. Start by moving the Mezzo slider, which adjusts the hammer hardness around a MIDI velocity of 70. Moving it to the left produces a softer sound, while moving it to the right yields a brighter sound:

Once you are familiar with these sound changes, you can try the other two sliders acting at Piano level and Forte level respectively. You may also want to experiment with using the Hammer noise parameter in conjunction with this Hammer hardness setting. You can, for example, set the Hammer hardness to very soft, but increase the volume of the hammer hitting the string using the Hammer noise setting. In other words, reducing the hardness of the hammer doesn’t mean that you have to lose the percussive sound of the hammer as you reduce the brightness of the sound. On the other hand, you may want to have hard hammers to make the timbre bright, but at the same time reduce the volume of the percussive knock of the hammer hitting the strings.
Another feature is timbre adjustment through the intensity of the individual overtones, which can be partially performed on a real piano by shaping or needling the hammers.
Spectrum profile, starting with the first overtone, also called the fundamental.
Voicing is not independent from tuning, for shaping the sound during tuning can be considered as voicing. Do you want to obtain longer decay? Then you can:
Unison width in the Tuning panel,Direct sound duration,Soundboard Impedance in the Design panel.Soundboard impedance plays a crucial role in piano design. What is the soundboard mechanical impedance? When a periodic force is applied to the soundboard, the wood oscillates with a certain velocity at the same frequency as the applied force. The soundboard impedes (resists) with its inertia, elasticity and resistance: this is the mechanical impedance, which has a ratio of force / velocity.
Typically, a high impedance results in a long sound because the energy is only slowly transmitted from the strings to the soundboard, and vice versa. High impedance yields long but weak sounds whereas low impedance yields strong but short sounds. Hence piano manufacturers have to find a compromise between sound level and sound duration.
With Pianoteq’s solution, you are free to amplify the sound as much as you want. There is no more compromise. You can set the impedance, adapting it to the sound duration that you want:

Impedance) acts globally on the impedance at all frequencies. Moving it up will result in longer sounds and vice versa.The mechanical impedance depends on the frequency. The impedance is usually quite high below a certain frequency called the cutoff frequency (Impedance Cutoff in Pianoteq), above which it drops down with a slope called the Q factor (Impedance Slope): the rate at which impedance is reduced and thus the rate at which the sound decreases in length. Higher frequencies decay more rapidly than lower frequencies. Hence:
Impedance Cutoff) will increase the cutoff frequency, and thus increase the number of high overtones that are long.Impedance Slope down will increase the impedance slope, and thus decrease the duration of the overtones above the cutoff frequency. Moving the slope up will instead allow these overtones to decay more slowly, prolonging the initial bright sound just after the attack.Example: if you like emphasizing the sound of the strings, you can reduce the Impedance Slope. Alternatively, you can increase the Impedance or the Impedance Cutoff.
For demanding pianists, it is of utmost importance to adapt Pianoteq to the keyboard in the best possible way.
Calibration button below the velocity window and follow the instructions step by step.
Some further adjustments can be made that depend on the instrument you are playing:
Dynamics that you want to use, typically between 20 dB and 60 dB. Measurements made on acoustic pianos show a dynamic range of approximately 50 dB. In piano recordings, due to compression, the dynamic range is often much narrower. In Pianoteq, when changing dynamics, the forte volume remains constant while the lower amplitudes are raised or lowered.
Voicing panel.
You are now ready to play. Note that steps 3 to 5 can also be used to adapt Pianoteq to a given MIDI file in the best possible way.
What is the difference between the spectrum profile (see tutorial 2) and the equalizer? Let’s look at an example. Open the Voicing panel and set the first two spectrum bars respectively to +6 dB and +3 dB:

What happens to the sound? All notes are modified: for each note, the fundamental has been increased by 6 dB and the second overtone by 3 dB. The piano sound has become globally softer because the higher overtones now have a lower amplitude relative to the fundamental and the second overtone.
Using several undo’s, put the spectrum bars back to their original values, and now adjust the equalizer curve, increasing it from 0 dB to 10 dB when going down from 200 Hz to 62 Hz:

What happens to the sound now?
The resulting piano sound will have more bass, with an unchanged middle register and treble notes.
Syngular is an experimental instrument pack geared towards sound design using the Pianoteq engine. To make it more intuitive, several parameters are presented in a more familiar, synthesizer-style layout. This short introductory tutorial shows how to shape the envelope of the basic Syngular Init preset so you can start exploring its creative possibilities.
The time plot at the bottom of the Tuning section on the main panel shows the average envelope of the sound you are designing. Syngular is based on a fictional string instrument with three strings per note (like the piano in most of its range), which is why you see three curves, figuratively representing three soundwaves for each partial.
These soundwaves emerge at a speed you can shape with the Attack parameter in the Design panel. The left part of the slider helps to tame the fast attacks; the right part of the slider lengthens the attack to create pads and wind instrument-like sounds.
Their rate of decay is controlled by the Decay parameter, which lets you morph between a very brief sound pulse, and a sustained tone that rings for several minutes. Decay cutoff and Decay slope are more advanced parameters to fine-tune the decay of high frequencies. For example, you can obtain a plucky sound by lowering the Decay cutoff and increasing the Decay slope. cutoff sets the frequency above which slope takes effect. The higher the slope, the shorter the decay of high-frequency components.
Release takes full advantage of Pianoteq string model and corresponds directly to the Damping Duration parameter in the Action panel. This means you can not only choose how long the release lasts, but also shape its timbre by adjusting the Damper Position.
Note that, unlike synthesizer envelopes, Syngular does not offer a direct Sustain parameter. This is because different frequencies decay at different rates based on Pianoteq's physical model of coupled strings, resulting in a more organic sound. The time plot shows how the envelope is influenced by all adjustments to Attack, Decay, Release, Unison width, and Direct sound duration.
Unison Width introduces natural beating between the virtual strings, much like what happens in real piano tuning. As a secondary effect, when you choose a narrow unison, Direct sound duration lets you determine the strength of the initial part of the decay.
Finally, the Smear parameter adjusts the soundwaves to soften or sharpen the attack’s timbre.

PIANOTEQ PRO is the advanced version of Pianoteq. It includes the following additional features:
CPU load.Note EditThe Note Edit (note per note adjustment) of parameters is a very powerful tool that lets you adjust the chosen parameter for each note.

You access the Note Edit window by clicking on the Note Edit button or by double clicking on an “editable” slider. You can drag the Note Edit window anywhere on your screen and open several new windows, allowing you to work on several parameters at the same time as you can see in the picture above, where Unison width and Direct sound duration are being adjusted.
Observe the handles that let you perform some more global changes on the curve. These handles are located on specific control notes that you can select/unselect by a double click on the control rail below the graphic. These control notes are shared by all parameters except the special case of the spectrum profile which is described in the next section. For fine tuning, press the Shift key while moving a point of the curve.

Clicking outside a control note lets you modify any other note individually.

Convenient tools are provided that allow you to modify a given shape: random, smooth and rescale. Click and drag the mouse around the button to vary the degree of the effect (see also the tips that are provided on the interface). The reset button resets all parameters to the saved settings of the preset (contained in the fxp file on the hard drive).
Note EditWhen tuning a piano, a "natural" way would be, like for most instruments in modern western music, to adjust the pitch of each note to equal temperament, using in particular a frequency ratio of octaves exactly equal to two. Unfortunately, pianos are inharmonic, meaning that strings do not produce harmonics which by definition are integer multiples of the fundamental frequency of the note; instead, each overtone sounds slightly higher than the corresponding harmonic, and is then called a partial. The following spectrograms show the difference between harmonic and inharmonic sounds:

Consequently, when tuning e.g. the octave C3-C4 in the natural way described above, C4 fundamental frequency would be slightly lower than the corresponding second partial of C3. This pair of partials would slowly beat and C4 would probably sound flat relatively to C3.
When inharmonicity is considered, the simplest way of tuning this octave is to match C4 first partial (the fundamental) with C3 second partial. However, the other pairs of partials will not match. For example, C3 fourth partial will in that case be slightly higher than C4 second partial.
The following figure shows the result when matching the fourth partial of a note with the second partial of its octave:

Ultimately: which pair should match? All things considered, this is a matter of aesthetic choice. Besides, instead of tuning octave intervals, you can decide to tune double octaves, or even other intervals, which itself leads to choosing specific pairs of partials to be matched. The Stretch Points Note-Edit panel, shown below, lets you select the Tuned interval, and the matching pair for each base note (the lowest note of the interval):

Let us see what each ratio means on two examples of Tuned interval options: Octave and Fifth.
2:1, 4:2, 8:4, 10:5 and 12:6Speaking of ratio 2:1 for note C3 (middle C) means that the SECOND partial (C4) of C3 (the 2 in 2:1) will match the FIRST partial of its octave C4 (the 1 in 2:1). There will be no beating on the matched pair 2:1, which is here in the region of 520 Hz.
Keeping the same example C3 and its octave C4, 4:2 means that the FOURTH partial of C3 (namely, C5) will match the SECOND partial of C4 (also C5). There will be no beating on the matched pair 4:2, which is here in the region of 1050 Hz. The tuning with ratio 4:2 is shown in the figure above.
Ratios 8:4, 10:5 and 12:6 follow the same reasoning, each one having its particular region of matched frequency.
It is worth noting that the String Length parameter in the Pianoteq Design panel has an important incidence when modifying the Stretch Points values, since it directly drives the string inharmonicity.
3:2, 6:4, 9:6, 12:8 and 15:10In this example, the two reference notes are Middle C3 and G3, but the same ratios hold for all fifth intervals throughout the entire chromatic piano keyboard.
Speaking of ratio 3:2 means that the THIRD partial of C3 (namely G4) will match the SECOND partial of G3 (also G4).
Speaking of ratio 6:4 means that the SIXTH partial of Middle C3 (namely G5) will match the FOURTH partial of G3 (also G5).
It goes in a similar way for the other ratios 9:6, 12:8 and 15:10, each one having its particular region of matched frequency.
Other traditional tuning intervals are considered by piano tuners: octave plus fifth (12th), double octave (15th), double octave plus fifth (19th) and triple octave (22th), all included in Pianoteq. For fun, we also included a non-traditional way of tuning a piano based on Major Third.
Another feature in this Note Edit panel is the Roughness slider that can smooth transitions when different Stretch Points values are used throughout the keyboard (slider on the left means "as smooth as possible").
Note EditThe Note Edit of the Spectrum Profile works a bit differently from the other parameters, for you can adjust each overtone for each note! You can access it by a double click on any of the spectrum profile sliders.
Overtones can be modified individually, but also in different combinations called Harmonic, Comb, Major, Octave... Various draw modes named Simple draw, Haircut and Fill only are also provided. All these features are grouped in the same menu on the right, labelled Simple draw at first access.
The spectrum profile has its own set of control notes that you can select/unselect by a double click on the control rail below the graphic. They are independent of the control notes used by the other parameters.

Outside the control notes, the spectrum profile is linearly interpolated, and you can observe the intermediate values by clicking on the corresponding note on the control rail.
If you set a single control note and increase its third overtone by 6 dB, all of the notes will have their third overtone increased by 6 dB:

With a single control note...

... all other notes are modified in the same way.
Here — starting with a reset to clear everything — since we wanted only the middle C to be modified, we added 2 control notes on each side to prevent the interpolation from "propagating" to the other notes:

With three consecutive control notes...

... you can alter only the middle note if you want to prevent your edit from spreading to the notes above or below it.
In this last example, we modified the middle C and the C below, and we observe how the intermediate notes are interpolated:

Profiling the middle C...

... and the C below ...

... results in interpolated values for the F between.
Pianoteq instruments are based on physical modelling ― which simulates the way the sound is generated and how it propagates in space ― coupled to a mathematical analysis of original instruments.
The optional instruments are included in demo mode in Pianoteq for your evaluation. You can download additional free instruments from the user area at www.modartt.com.
Authorized by Steinway & Sons, the Steinway Model D pack contains two virtual copies of Steinway D grand pianos, well known for their exquisite musical expression: one manufactured in New York (NY Steinway D) — in fact the very first produced of Steinway’s groundbreaking new flagship instrument Model D Spirio|r, which has been used by some of the most famous pianists in the world today — and one manufactured in Hamburg (HB Steinway D). New York and Hamburg Steinway pianos are very much like twin siblings that share strong family traits but exhibit subtle differences in their personalities. These differences can be attributed in part to the variations in hammer construction and voicing techniques utilized in both production facilities. Proprietary procedures in soundboard fabrication and installation unique to each factory also flavor the nuanced tonal distinctions between Hamburg and New York Steinway pianos. Both use soundboards that are constructed from carefully selected premium Sitka spruce wood. Within Pianoteq, each note of each virtual instrument has been carefully adjusted in its finest detail, just like in the real factory. The result is stunningly vivid instruments created with the most demanding musician in mind.
Authorized by Steinway & Sons, the Steinway Model B grand piano was carefully designed to reproduce the finest sound characteristics of a Steinway B instrument which was selected by Modartt for this project. This model is based on the Martha Argerich edition, and is one of the twenty-five Steinway & Sons Model B-211 grand pianos that the prestigious pianist carefully chose in 2014 for their musicality. She signed each.
The Shigeru Kawai SK-EX Concert Grand piano is meticulously handcrafted to perfection in Japan, involving Master Piano Artisans, with less than 20 units made each year to achieve an extraordinary tone and stunning response. Authorized by KAWAI, Modartt’s physical model brings a piano sound with authority and exceptionally broad dynamics, making it ideal for pianists, producers, and composers as it captures the essence of this prestigious instrument, from its hand-wound temaki bass strings to the shimmering brilliance of its highest notes. Different configurations of microphones, room settings, and piano voicing increase flexibility for various musical styles and creative approaches.
Authorized by Bösendorfer, the Concert Grand 280VC physical model faithfully captures the rich resonance and dynamic spectrum of the instrument, making it a true joy to play and bringing many hours of listening pleasure. It’s easy to understand why: breathtaking dynamics, astounding colours, exhilarating brilliance, a sound as clear as diamonds, yet playfully gleaming like beaming sparkles of light. Franz Liszt, Arthur Rubinstein, Victor Borge, Leonard Bernstein, Oscar Peterson, Vangelis, Tori Amos, Gonzalo Rubalcaba, Daniil Trifonov, and many more, have been using Bösendorfer pianos in their careers, leading to many prominent recordings.
In cooperation with Bechstein, Modartt has developed an accurate physical model of a C. Bechstein 282 grand piano, the Bechstein company flagship. Its sound was captured by the acclaimed Teldex Recording studio in Berlin. The Pianoteq version reproduces the outstandingly brilliant and powerful sound of the C. Bechstein D 282 with its singing, richly coloured voice, suitable for many different music genres.
In cooperation with Petrof, Modartt has developed accurate physical models of the two Petrof masterpieces: Ant. Petrof 275 and Petrof 284 Mistral grand pianos. It maintains the colourful, romantic and rounded tone which the Petrof instruments are praised for, thanks to first class materials. These physically modelled pianos capture the characteristic Petrof sound with a range of presets offering a beautiful palette of timbres suitable for all kinds of music.
In cooperation with Steingraeber, Modartt has developed an accurate physical model of a Steingraeber E-272 grand piano. Steingraeber has reduced the surface of the treble soundboard; hence strings have 27% less wood weight to set in motion, and even when softer intonation is called for, the player is rewarded with an immediate, singing resonance. For more delicate playing, Steingraeber E-272 is also equipped with the Sordino (Celeste pedal) and the Mozart Rail (Mozart Rail pedal).
In cooperation with Grotrian, Modartt has developed an accurate physical model of a Grotrian Concert Royal grand piano, rightly considered to be one of the best grand pianos in the world. In order to reproduce the characteristic clarity and warmth of the original instrument, every detail of the Pianoteq model has been fine-tuned, resulting in an authentic and joyful instrument. Timbre and complex resonances are breathtaking.
In cooperation with Blüthner, Modartt has developed an accurate physical model of Blüthner Model 1 grand piano for Pianoteq. A unique feature in Blüthner’s grand pianos is the fourth string for each key in the treble, called the Aliquot system. Its purpose is to create a sympathetic vibrating string that enhances the tone. This feature is included in the Pianoteq Blüthner model.
The grand piano K2, which was created for Pianoteq 5, has evolved by combining the best elements of several models. Its 211 cm (6' 11") cabinet offers the magnificent sound that comes from a perfect balance between warmth and brilliance.
The YC5 Rock piano adds a lot of bite to your pop/rock recording, and fits beautifully in a mix with drums and electric instruments. Its characteristic bright timbre is also adapted for expressive playing and suitable for jazz recording sessions. YC5 is modelled from a well known Japanese grand piano, frequently seen on stages and widely appreciated by touring artists for its musical qualities and reliability. It is also a popular instrument at conservatories and other music schools.
The U4 upright piano offers many presets emphasizing the characteristics of upright pianos. Besides the beautiful timbre of well-built acoustic pianos, there is higher inharmonicity and increased imperfections in presets such as Blues, Honky Tonk, Vintage, Detuned, Ruined, Bierkeller, Tacky, Wavy, Weathered, Club...
Peter Karsten is an instrument collector from Braunschweig, Germany. This collection includes virtual copies of: J. Salodiensis virginal (1600), G. Giusti harpsichord (1680), Ph. Schmidt square piano (1780), J. Weimes pianoforte (1808), NY Steinway square piano (1858). The virtual copy of the NY Steinway square piano was evaluated and authorized by Steinway & Sons in New York. Peter Karsten himself participated in many steps of the development of all the instruments ― from the initial recordings for the audio analysis until the final stages of the beta tests ― together with a dedicated team of experienced musicians, ensuring the authenticity of the instruments.
This collection of beautiful historical pianos, ranging from the 18th century to the late 19th century, has been created in collaboration with Kremsegg Schloss Museum (Austria). It includes virtual copies of pianofortes J. Dohnal (1795), J. Broadwood (1796), and grand pianos I. Besendorfer (1829), I. Pleyel (1835), J. Frenzel (1841), S. Erard (1849), J.B. Streicher (1852), C. Bechstein (1899). Incomparable for rendering the music of the Classical period, these instruments can also be used for more recent compositions. The late-19th-century pianos, particularly, with a design approaching that of a modern piano, illuminate jazz and other modern music.
The physical model is based on a copy by Matthias Griewisch of a Hans Ruckers II le Jeune harpsichord (1624). This virtual instrument offers an extension of the original instrument, from 4½ to 6½ octaves, and is equipped with three registers — lower 8', upper 8', and 4', which can be combined in ways not even possible in the real world (see the L8', U8' and 4' buttons above the interface keyboard). A local MIDI mapping allows you to change the registration directly via the 3 lower notes of your keyboard. Besides sustain and soft pedals, this harpsichord is equipped with a Buff stop pedal and a Rattle pedal (cf. Section Pedals).
KIViR collection
This collection is the result of the Keyboard Instrument Virtual Restoration project. It can be downloaded from our website at www.modartt.com. It includes the free instruments clavichord, cimbalom, harpsichords, pianofortes and acoustic and electro-acoustic pianos. Some of them are presented in their current state. Their age has caused imperfections, such as some voicing irregularities, which we have kept intact. We regularly enrich this collection with new instruments.
This instrument is modelled after nylon Classical guitars. Three reference instruments, among these a concert guitar C9 by Luthier Jean-Marie Fouilleul, was used as basis for the model. For the attack part, a finger pick style has been chosen, which is natural given that this instrument is mainly used to play classical, flamenco and Latin music. The idea was to find a sweet spot regarding the amount of nail used during the attack. If it differs from your taste, it is easy to take advantage of the parameters of the model, in order to adjust the sound to the target style. A guitar mode has been designed to help keyboard players mimic the guitar player without limiting their playing, see section Guitar mode. Many of the most common guitar player techniques are available: legato, vibrato, glissando, pinch harmonics, palm mute and rasgueado. The model has been augmented by natural noises resulting from the interaction between the player and the instrument, including squeaking, rubbing and sliding sounds. Additionnal features, such as supplementary tunings, automatic or manual fingering, fast repetitions, hollow or solid body, reserved midi channels for midi guitar are offered. The instrument lets you explore a range of presets including some experimental ones, such as 12-string guitars and electric guitars. If the Amp effect from Pianoteq does not suit your needs, the bare preset is a great starting point for third-party Amp plug-ins.
The Harp pack includes a concert harp modeled after a Salvi concert harp, an Aoyama Celtic harp with nylon strings, and an Italian baroque triple harp. The Celtic harp is a lightweight instrument with a sweet, crystalline tone, equipped with levers to raise certain notes by a semitone. The triple harp, which originated in 17th-century Italy and later became popular in Wales, has three rows of strings: two tuned in unison and a central row for accidentals, offering great chromatic richness and a warm tone, ideal for Renaissance and Baroque music. Finally, the concert harp, perfected by Sébastien Érard in the 19th century, uses seven pedals that allow full modulation and a sound projection suited to orchestras and major solos. All three Pianoteq models allow harmonics and glissandi to be played. In addition, a diatonic mode has been designed to realistically reproduce the experience of the seven-pedal concert harp, making it possible to change the string lengths and thus play in all keys (see section Diatonic mode).
The Electric pianos pack offers three amazing electro-acoustic pianos from the seventies. Each Electric Piano (Vintage Tines MKI, Vintage Tines MKII and Vintage Reeds W1) is provided with several variants. Using the rich interface features, you can customize them to your own taste.
The Hohner10 Collection, authorized by Hohner, includes four famous instruments manufactured from the early sixties until the early eighties: Electra-piano, Pianet N, Pianet T and Clavinet D6. The virtual copies for Pianoteq benefit from its physical modelling: addition of a sustain pedal, range extended to seven octaves and possibility to adjust physical properties.
Syngular transforms Pianoteq’s renowned physical modelling engine, originally designed to emulate real acoustic instruments, into a powerful laboratory for sound creation. While rooted in the modelling of strings and hammers, the technology extends far beyond just pianos, enabling the generation of entirely new, imaginary timbres. Its core parameters – Unison Width, Strike Point, Spectrum Profile and many more – become instruments of exploration, allowing users to design sounds that are detached from the limitations of real-world acoustics, and yet retain an organic, dynamic feel with natural velocity response.
The Vibes pack offers two beautiful vibraphones. V-M is a virtual copy of a Musser vibraphone that belongs to the famous French vibraphonist Dany Doriz. V-B is a virtual copy of a Bergerault vibraphone that belongs to the Condorcet studio in Toulouse (France). The bars are made of metal.
The Xylo pack includes a xylophone and a marimba. The xylophone virtual copy is modelled after a modern 3½-octave French brand and the marimba virtual copy is modelled after a modern five-octave French brand. In contrast with the vibraphone, the bars are made of wood instead of metal.
The Celeste pack includes a toy piano, a celesta and a glockenspiel. The sound of the toy piano is produced by small hammers striking metal rods. The virtual toy piano is modelled after a two octaves Michelsonne instrument and is extened to 4 octaves. The celesta resembles an acoustic upright piano but houses metal plates struck by felt hammers resembling piano hammers. The virtual celesta is modelled after a modern five-octave German brand. The glockenspiel also has metal plates but they are struck by hard metal mallets held by the musician. The virtual glockenspiel, modelled after a modern French brand, has been extended to cover four octaves.
The Pianoteq physical model has been enriched to produce the characteristic timbre of steelpans, with their "blooming" overtones that are due to the mechanical properties of thin steel sheets. Steel drums were originally built from empty oil barrels as the popular drums were forbidden by the Trinidad government.
The Steelpans pack includes 4 instruments: Steel Drum, Spacedrum, Hand Pan and Tank Drum. Each instrument is provided with one preset faithful to the original instrument modelled and several variants.
The Steel Drum instrument is a combination of the known types, the "double second", the "tenor", the "double guitar", the "triple cello", and covers 4 octaves.
The Spacedrum is a recent variant of the Hand Pan. Both instruments offer presets for hand playing and mallet playing, and are extended to 4 octaves. The blooming effect is a bit less pronounced than in the Steel Drum.
The Tank drum is made of thicker metal from a gas tank. Several tongues are cut into the bottom of the tank for producing the notes. Due to its shape and thickness, there is almost no blooming effect. The instrument is extended to 3½ octaves.
Other instruments such as church bells and tubular bells, are available for download on our website at www.modartt.com. Subscribe to our newsletter for the latest information.
MATLAB programs for some Pianoteq built-in temperaments11. Inputs are equal tempered frequencies f (which may be stretched) and corresponding MIDI numbers.
%-------------------------------------------------------------------
function f = pythagore(f,MIDI)
%-------------------------------------------------------------------
delta = 3/2/2^(7/12);
ratio = delta.^[-3 -8 -1 -6 1 -4 3 -2 -7 0 -5 2];
f = f.*ratio(rem(MIDI,12)+1);
%-------------------------------------------------------------------
function f = zarlino(f,MIDI)
%-------------------------------------------------------------------
ratio2C = [1 25/24 9/8 32/27 5/4 4/3 45/32 3/2 25/16 5/3 16/9 15/8];
ratio = ratio2C./2.^((0:11)/12);
ratio = ratio/ratio(10); % leaving A unchanged
f = f.*ratio(rem(MIDI,12)+1);
%-------------------------------------------------------------------
function f = mesotonic(f,MIDI)
%-------------------------------------------------------------------
q = 5^(1/4);
ratio2C = [1 5*q^3/16 q^2/2 4*q/5 5/4 2/q 5*q^2/8 q ...
25/16 q^3/2 4*q^2/5 5*q/4];
ratio = ratio2C./2.^((0:11)/12);
ratio = ratio/ratio(10); % leaving A unchanged
f = f.*ratio(rem(MIDI,12)+1);
%-------------------------------------------------------------------
function f = welltempered(f,MIDI)
%-------------------------------------------------------------------
q = max(real(roots([1 0 0 2 -8]))); a = (128/q^5)^(1/7);
ratio2C = [1 a^2*q^5/16 q^2/2 a^4*q^5/32 q^4/4 2/a a*q^5/8 q ...
a^3*q^5/16 q^3/2 4/a^2 a*q^4/4];
ratio = ratio2C./2.^((0:11)/12);
ratio = ratio/ratio(10); % leaving A unchanged
f = f.*ratio(rem(MIDI,12)+1);
%-------------------------------------------------------------------
function f = werck(f,MIDI)
%-------------------------------------------------------------------
ratio2C = [1 256/243 1.1174 32/27 1.2528 4/3 1024/729 1.4949 ...
128/81 1.6704 16/9 1.8792];
ratio = ratio2C./2.^((0:11)/12);
ratio = ratio/ratio(10); % leaving A unchanged
f = f.*ratio(rem(MIDI,12)+1);
[11] Some of these temperament definitions derive from “Der Piano und Flügelbau, Herbert Junghanns, Verlag Das Musikinstrument Frankfurt/Main, 1979”
Warm thanks to our beta testers, who helped us greatly in improving our instruments. Without their intensive participation, their constructive criticism and enlightening advice, Pianoteq wouldn’t have become the enjoyable instrument which you are playing.
Many thanks also to our customers and distributors for their support and all others who supply us with valuable opinions and ideas.
MODARTT is a company that develops and provides software, hardware and consulting services for artistic and technological applications. MODARTT also supports the KIViR project (Keyboard Instruments Virtual Restoration), offering digital restoration of historical keyboard music instruments in museums. Please visit our website www.modartt.com for further details.
All products names and any trademarks mentioned are used for identification purposes only and are copyrighted by their respective holders.